flashers Bally special force

Vragen en antwoorden over de technische kant van flippers
Plaats reactie
speak easy
Berichten: 193
Lid geworden op: 17 jan 2013, 18:44
Real name: edwin
Locatie: Germany

flashers Bally special force

Bericht door speak easy » 26 aug 2017, 22:17

hallo iedereen op mijn Bally special force werkt er geen een flasher
alle lampen zijn heel
zekering onder het speelveld ook
ik heb de transistors nog niet getest maar lijkt me sterk dat deze allemaal kapot zijn
iemand een idee alvast weer bedankt :D

Gebruikersavatar
pinballservice-nl
Berichten: 259
Lid geworden op: 08 jun 2016, 07:08
Real name: pinballservice.nl team
Locatie: The Netherlands

Re: flashers Bally special force

Bericht door pinballservice-nl » 27 aug 2017, 09:54

Je moet dus als alles goed gezekerd is en met hele lampen aan beide zijdes van de lamp socket spanning meten!
Flashers zijn bij de 6803 per 3 in serie geschakeld, dus één kapot is 3 niet werkend.
5 lijnen met 15 lampjes.
Als je flashers kapot zijn kun je voor "nood" kleine 6 Volt wedges gebruiken.
Controleer de cement weerstand 4 ohm - 5Watt, als deze onderbreekt doet niets het :!:
Als je de andere socket zijde die transistor geschakeld is even aan massa tipt gaat je flasher aan. (lamp er even uit halen om te bepalen welke zijde de constante spanning krijgt) of kleur code opzoeken in manual.
Als alles goed is dan op je flasher/ coil connector meten of je alle spanningen hebt.
Dan massa draad op je stuurtransistor om flashers te bedienen.

Met een universeelmeter weet je het in 5 minuten, gewoon de flasher voeding volgen.

Succes.

*Edit / aanvulling;
Werken je outhole en knocker spoel wel in de test?
Niet?- dan schakelt je solenoid expander relais niet goed om je flashers en de twee spoelen te bedienen.
Coniunctione Crescitur

Gebruikersavatar
inkochnito
Berichten: 860
Lid geworden op: 16 aug 2011, 20:39
Real name: Peter Koch
Locatie: The Netherlands

Re: flashers Bally special force

Bericht door inkochnito » 27 aug 2017, 20:19

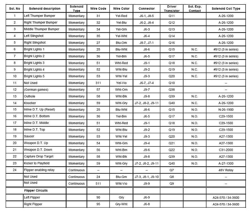
Volgens de manual moeten het #912 lampen zijn.
Die zijn 12,8V/13W en dan 1A.
Lijkt me ook logischer omdat er 43V gebruikt wordt voor die lampen.
Drie in serie, dat wel, dan kom ik op zo'n 39V en dan de extra volts om de lamp feller te maken.
De 43V komt van de spoelen voeding af.
Als die zekering eruit ligt dan doen de lampen het dus ook niet.
Inderdaad is de solenoid expander ook een goede plaats om storing te zoeken.
Maar de lampen zitten op het "normaal gesloten" circuit en zouden dus altijd moeten werken als de sol. exp. defect zou zijn.
Volgens het schema moet er ergens een zekering van 0,75A of 1A zitten die alleen voor de Bright Lights is.
Dit is allemaal manual wijsheid en daar staan wel eens fouten in....

Peter

Gebruikersavatar
pinballservice-nl
Berichten: 259
Lid geworden op: 08 jun 2016, 07:08
Real name: pinballservice.nl team
Locatie: The Netherlands

Re: flashers Bally special force

Bericht door pinballservice-nl » 27 aug 2017, 20:45

inkochnito schreef:Volgens de manual moeten het #912 lampen zijn.
Die zijn 12,8V/13W en dan 1A.
Lijkt me ook logischer omdat er 43V gebruikt wordt voor die lampen.
De 6 Volt lampjes worden gebruikt om te testen, er staat ook voor "nood" om ze aan te tikken, bijna niemand heeft dit type op voorraad. sterker nog, de eerste die je naar massa test / tikt zal de volle spanning over zich heen krijgen en dat overleven de 6 volt wedges

Drie in serie, dat wel, dan kom ik op zo'n 39V en dan de extra volts om de lamp feller te maken.
Nee, er zit een dikke cement weerstand voor.

De 43V komt van de spoelen voeding af.
Als die zekering eruit ligt dan doen de lampen het dus ook niet.
Inderdaad is de solenoid expander ook een goede plaats om storing te zoeken.
Maar de lampen zitten op het "normaal gesloten" circuit en zouden dus altijd moeten werken als de sol. exp. defect zou zijn.
Het "normaal gesloten" gedeelte in het relais is het eerste wat defect raakt is mijn ervaring, vandaar mijn vraag.

Volgens het schema moet er ergens een zekering van 0,75A of 1A zitten die alleen voor de Bright Lights is.
Regel 2 in de elektronica; meten is weten en niet zomaar naar een zekering kijken en denken dat ie goed is, de zekering is 3/4 Amp. slo-blo!

Dit is allemaal manual wijsheid en daar staan wel eens fouten in....

Peter
Coniunctione Crescitur

Gebruikersavatar
inkochnito
Berichten: 860
Lid geworden op: 16 aug 2011, 20:39
Real name: Peter Koch
Locatie: The Netherlands

Re: flashers Bally special force

Bericht door inkochnito » 27 aug 2017, 20:56

Misschien helpt dit een beetje....
Special Force solenoids.jpg
Als je de manual hebt, ik zoek nog een paar draad kleuren die in het manual bestand niet te lezen zijn.
Het gaat om de twee draden in de rode cirkels.
Special Force.jpg

speak easy
Berichten: 193
Lid geworden op: 17 jan 2013, 18:44
Real name: edwin
Locatie: Germany

Re: flashers Bally special force

Bericht door speak easy » 27 aug 2017, 22:11

de keramische weerstand was kapot lampen doen het weer bedankt voor de uitstekende uitleg :hypno:

Plaats reactie